彎管流量計
西安華恒儀表制造有限公司是主要生產流量計和變送器的儀 表廠家,擁有自主的研發團隊和生產線。可以自主研發設計滿足 各行業、各環境下的高精度流量計。今天和大家分享一下彎管流量計。
彎管流量計的工作原理
彎管流量計與傳統的孔板流量計一樣同屬于差壓式流量計的范疇, 只是彎管流量計產生差壓的方式與孔板流量計不同, 孔板是利用流體的縮放原理產生差壓的, 而彎管傳感器是利用流體的慣性原理產生差壓的。 當流體通過彎管時,由于受彎管的約束流體被迫作類似的圓周運動,流體在作圓周運動時產生的離心力作用于彎管的內兩側,使彎管傳感器內外兩側之間產生一個壓力差, 該壓力差(也就是壓差值)的大小與流體的密度有關, 與流體的平均流速有關, 與流體作圓周運動的曲率半徑有關。 他們之間遵循作圓周運動物體都必須遵循的牛頓運動定律的有關規律。
F=m(V2/R)
其中: F流體對彎管施加的離心力;
V流體值彎管中的平均流速;
R彎管中心曲率半徑;
我們對上述公式進行整合、 積分處理之后, 最終獲得如下關系式:
V=(R/d) 1/2(P/) 1/2
其中: V介質中彎管傳感器中的平均流速;
R/d彎管傳感器的彎徑比;
P流體通過彎管傳感器時產生的差壓值;
介質的密度;
這個公式就是彎管流量計的基本公式, 它描述了介質在彎管傳感器中流動時,介質對彎管施加的離心力與介質的密度, 介質的平均流速以及彎管的重要幾何尺寸彎徑比之間的關系。這里提到的彎徑比就是彎管的中心曲率半徑與彎管內徑的比值, 它是描述彎管幾何特征的重要參數。 彎徑比的大小準確地描述了彎管的彎曲程度,隨著彎管彎徑比的增加, 彎管的彎曲程度將減小。 它在流量公式中的作用于孔板流量計中的開孔率 值十分相似(=d/D) , 隨著 值的變化可以改變流體通過孔板時的縮流效果, 從而可以在相同的流量條件下獲得不同的差壓值。 同樣, 改變彎管傳感器的彎徑比可以改變流體作圓周運動的曲率, 從而使同樣的介質流量獲得不同的離心力(也就是彎管傳感器顯示的差壓值) , 當然改變彎管彎徑比遠比改變孔板的開孔率要困難得多。
大量的實驗證明, 我們推導所得的數學公式完全符合實際的結果, 只要介質在彎管傳感器中流動的最小雷諾數達到一個極低值以上, 彎管流量計的流量系數 就是一個定值, 這個結論與孔板流量計也是十分相似的。
三、 彎管流量計重現性精度很好, 而測量精度不高結論的可信程度
為什么那么多的前輩們在談到彎管流量計時雖然承認他們的重現性精度很高, 但是, 同時總是認為它的測量精度不高, 搞清楚這些問題對于彎管流量計的推廣應用有著十分重要的作用, 也許下面的分析會給我們一個比較公正的答案。彎管傳感器的結構十分簡單, 它就是一個具有確定幾何尺寸的彎頭, 流體通過彎頭產生離心力使彎頭的內外兩側產生一個壓力差, 這個轉換原理十分清楚、 準確。 在彎管傳感器工作過程中只要能夠重復流體流過彎管傳感器的條件和狀態, 彎管傳感器必然會產生不變的差壓信號, 因此它的重現性精度好的結論是自然成立的。
說到彎管流量計測量精度不高的結論時, 我們不能超越當時的歷史條件和技術水平來討論。 雖然彎管傳感器的結構是特別簡單, 但是, 在當時的歷史條件下要想獲得高質量的彎管并不容易(我們這里所說的高質量彎管包括: 彎管的垂直度、 水平度、 扭曲度、 不圓度、 均勻度等等, 其中彎管的圓度和均勻度對于加工成彎管傳感器特別重要, 手工或者簡單機械的冷彎或者熱彎都很難達到彎管傳感器對于彎管的基本要求。
其二, 彎管流量計與孔板流量計一樣, 也是屬于差壓式流量計的范疇, 在選擇配套的差壓變送器量程范圍時我們都希望其差壓范圍大一些比較好, 這將有利于保證系統測量精度的提高。 孔板流量計可以利用選擇不同的開孔率 值的方法, 使差壓變送器的量程范圍取得高一些, 當然, 這樣的選擇是需要付出代價的, 其代價是使介質流動阻力損失大大加大, 對于那些大流量、 大管徑的情況下會大大增加系統的運行費用。彎管流量計則不然, 雖然彎管傳感器彎徑比的縮小有利于提高產生的差壓值, 但是, 這種提高是十分有限的, 彎管流量計在實際應用中產生的差壓值應該說是相對比較小的, 在當時的條件下, 差壓計的生產技術是比較落后的, 它的精度等級、 穩定性、 零位漂移等等技術指標都不十分理想。 對于低差壓, 甚至微差壓的測量要求則更加困難。 這樣的配套儀表就不能保證彎管流量計能夠獲得高質量的測量精度。
第三, 當時的二次儀表的生產技術也是十分落后, 當時的指針式二次表除了本身的精度不高之外, 其他的功能更是無從談起, 因此, 在當時測量流量的二次儀表連最基本的開方運算也無法完成, 只好將流量標尺作出非線性的形式。以上三條是限制彎管流量計獲得好的測量結果的主要原因。 當然, 人們對于彎管流量計流量系數的確定, 數學模型的建立和正確的應用這些科研工作者的主觀判斷也是十分重要的因素, 總之, 歷史的、 主觀的、 客觀的種種因素使得眾多專家學者們得出了彎管流量計測量精度不高的錯誤結論, 使彎管流量計的發展和應用幾乎處于完全停止的狀態。現在我們在拋開研究者主觀因素的條件下, 看看前面談到的客觀影響因素的現實條件發生了什么樣的變化。
首先, 彎管的加工目前已經達到了相當高的水平, 先進的技術保證和專業化的加工設備使我們獲得具有足夠精度要求的彎管變得十分容易, 這就保證了彎管傳感器生產的系列化和規范化成為可能。
其次, 高質量差壓變送器的誕生使彎管流量計的配套產品的質量有了飛躍的發展, 質量非常不錯的電容式差壓變送器及智能型差壓變送器的出現和應用使過去傷腦筋的諸如: 穩定性不好、 精度不高、 零位漂移不能很好解決等等一系列問題得到了徹底解決。
第三, 微電子技術的發展和應用使二次儀表獲得了脫胎換骨的新生, 測量蒸汽或者其他氣體時需要的密度補償; 溫度對于傳感器產生熱膨脹修正和毛病一掃而而在選擇彎管流量計時, 通常選擇與原有管道尺寸相同的彎管傳感器來進行流量測量, 如果工藝在管道設計時充分考慮到經濟運行的要求, 那么, 介質在彎管傳感器中可以產生足夠的差壓值, 保證流量測量系統高質量的運行。
綜上論述不難看出為何近幾年彎管流量計的現場應用反應, 精度、 穩定性、 可靠性如此之高, 得到用戶及業內人士的廣泛認可。 據了解, 目前彎管流量計技術在世界上我國處于絕對領先地位, 我們肩負著民族產業的發揚光大的重任。 華恒儀表在彎管流量計的生產、 安裝、 應用上有著自己獨到理解和創新。 彎管氣體流
量計、 蒸汽流量計、 液體流量計、 小口徑高精度流量計國內領先。 堅持自己的生存理念: 人品造就產品、 品德決定服務。 以此實現公司的持續發展, 實現共同發展貢獻社會的發展理念。

1. 用途及特點
LGWG 型彎管流量計廣泛用于石油、 化工、 電廠、 輕工、 醫藥、 水廠及城市供水、 供暖等部門的流體流量測量, 同時可以測量高溫高壓蒸汽。 該流量計結構簡單、 無插入節流件、 無附加壓力損失、 安裝方便、性能可靠, 尤其適合大口徑、 大流量、 無壓力損失、 低粘度流體流量的測量。 耐高溫、 耐磨損、 抗振、
免維護。
2. 外形結構
LGWG 型彎管流量計外形結構如圖 1、 圖 2 所示

3. 工作原理
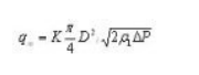
彎管流量的測量方程式如下:

式中:
qm-質量流量 ㎏/h
Dt-工作溫度下的管道內徑 m
1-工況下的介質密度 ㎏/m3
△P-彎管流量計實際產生的差壓
PaK-測量系數, 具體值經計算并通過實流標定得出
4. 技術數據
4. 1 測量范圍:
a. 取壓方式: 45 方向取壓 22. 5 方向取壓
b. 公稱通徑: DN25~1000mm
c. 公稱壓力: 4. 0MPa
d. 工作溫度: 450℃
e. 流速: 氣體 5~120m/s 液體 0. 1~12m/s
f. 雷諾數 ReD: 104
g. R/D: >1. 25 R-管道彎頭處的曲率半徑 D-管道內徑
h. 精度等級: 經過標定的彎管流量計 1 級 未經實流標定的彎管流量計 4 級
4. 2 安裝方式:
垂直安裝和水平安裝, 垂直安裝時流體自下而上
4. 3 直管段要求:
22. 5 方向取壓時, L1=6D, L2=4D 配兩付專用法蘭及取源閥;
45 方向取壓時, L1=L2=5D 配兩付專用法蘭及取源閥
4. 4 型號表示方法

以上就是彎管流量計的全部內容,如有疑問,可以隨時聯系我們。
最新資訊文章
- 流速式流量計的安裝注意也需要一定講究
- 氣體渦街流量計在測量蒸汽爐煤氣時出現問題及解決方法
- 孔板流量計測量瓦斯抽放流量時的安裝要求及取壓方式
- 測蒸汽時應選孔板流量計還是渦街流量計?
- 差壓孔板流量計出現故障時 不妨試試以下方法
- 天然氣流量計管道調試故障原因分析
- 插入式流量計的原理與分類
- 如何消除污水流量計工頻干擾和零點漂移
- 孔板流量計:自動化設計廢鋼鐵行業轉行井噴
- 前后直管段太短時孔板流量計應該如何安裝
- 德爾塔巴流量計的安裝要求以及注意
- 高壓孔板流量計在冷凍水檢測中的注意要點及解決方案介紹
- 選型蒸汽流量計時所需要注意的問題介紹
- 導致孔板流量計誤差變大的原因分析
- 孔板流量計測量蒸汽產生誤差的原因分析及解決辦法
- 深入探究影響孔板流量計進行煤氣流量計量的因素
- 質量流量計和控制器引擎蓋下的主要組件詳細介紹
- 淺析階躍溫度及水流速度對金屬管浮子流量計的影響
- 選擇流量計時會犯的10個常見錯誤以及如何避免錯誤
- 運用標準計量器具校正金屬管浮子流量計
- 如何正確安裝蒸汽流量計
- 天燃氣流量計的功能介紹
- 蒸汽流量計運行工作前的準備和調試
- 限流孔板流量計作為流量測量元件的使用條件有哪些
- 環形孔板流量計在各介質中的應用













