實體測量平衡流量計-平衡流量計廠家符合工況要求
一、概述
平衡流量計(又稱多孔孔板)是按國標GB2624在標準孔板和流動調整器的基礎上研發的一種新型節流式流量傳感器。平衡流量計用于安裝在各種擾動的下游,以最短的直管段敷設提供卓越的性能。

二、測量原理
平衡流量計是也一種差壓式流量儀表,其工作原理與其他差壓式流量計一樣,都是基于密封管道中的能量轉換原理:在理想流體的情況下管道中的流量與差壓的平方根成正比;用測出差壓值根據伯努利方程即可計算出管道中的流量。平衡流量計流量傳感器是一個多孔的圓盤節流整流器,安裝在管道的截面上,當流體穿過圓盤的整流孔時,流體將被平衡整流,渦流被最小化,形成近似理想流體,通過取壓裝置,可獲得穩定的差壓信號,根據伯努利方程計算出體積流量、質量流量。
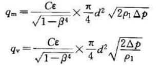
流量計算公式:

式中:qm,qv分別為質量流量(㎏/s)和體積流量(m
3/s);
C流出系數;
可膨脹性系數;
d節流件開孔直徑,m;
直徑比,=d/D;
D管道內徑,m;
1被測流體密度,㎏/m
3;
p差壓,Pa;
三、特點
1、測量精度高由于平衡流量計流量傳感器具有多孔對稱結構特點,能對流場進行平衡整流,降低了渦流、振動和信號噪聲,流場穩定性大大提高,使線性度比傳統節流裝置提升了5~10倍。
2、直管段要求短平衡流量計流量傳感器能將流場整流穩定、且壓力恢復比傳統節流裝置快2倍,大大縮短了對直管段的要求。一般情況下直管段要求為前2D、后2D,從而省去大量直管段,尤其是特殊昂貴的材料的管道。
3、量程比寬平衡流量計流量計正常情況下量程比為15:1,選擇合適的參數可以做到30:1.平衡流量計流量計的值范圍為0.25~0.90。
4、永久壓力損失低平衡流量計流量計多孔對稱的平衡設計,減少了渦流的形成和紊流的摩擦,降低了動能的損失;在產生同樣差壓值情況下,永久壓力損失約為傳統節流裝置的1/3,節省了相當大的運行成本,是一種節能型儀表。
5、耐臟污不易堵平衡流量計流量計多孔對稱的設計,減少了渦流的形成和紊流的摩擦,降低流場死區,保證臟污介質順利通過函數孔,因此平衡流量計流量計可用于測量各種臟污介質,如焦爐煤氣、高爐煤氣、渣油、回煉油、水煤漿等等。
6、適用范圍廣平衡流量計流量計測量范圍極廣,可測量各種氣體、液體、蒸汽;流體條件可以從深低溫到超臨界狀態,過程溫度最高達850℃,最大工作壓力可達42MPa。
7、一體化結構易于使用、檢驗和排除故障。
四、主要技術參數
1.管道尺寸:15DN1200mm
2.公稱壓力:PN42Mpa
3.工作溫度:-50℃t550℃
4.量程比:1:10,1:15
5.精度等級:0.5級,1級,1.5級
6.參照標準:GB/T2624-2006、JJG640-94及流量測量節流裝置設計手冊
7.連接方式:法蘭連接、焊接、螺紋連接
五、結構形式
平衡流量計按其開孔個數分為:四孔式、多孔式。按其安裝方式又分為:通用型、夾持型一體化式等結構。具體形式見下表:
六、型號標記方法:LG-BKD-DN平衡流量計
LG基本型號;-BKD平衡流量計
DN公稱通徑(㎜)例如DN200,為公稱通徑200㎜。
最新資訊文章
- 流速式流量計的安裝注意也需要一定講究
- 氣體渦街流量計在測量蒸汽爐煤氣時出現問題及解決方法
- 孔板流量計測量瓦斯抽放流量時的安裝要求及取壓方式
- 測蒸汽時應選孔板流量計還是渦街流量計?
- 差壓孔板流量計出現故障時 不妨試試以下方法
- 天然氣流量計管道調試故障原因分析
- 插入式流量計的原理與分類
- 如何消除污水流量計工頻干擾和零點漂移
- 孔板流量計:自動化設計廢鋼鐵行業轉行井噴
- 前后直管段太短時孔板流量計應該如何安裝
- 德爾塔巴流量計的安裝要求以及注意
- 高壓孔板流量計在冷凍水檢測中的注意要點及解決方案介紹
- 選型蒸汽流量計時所需要注意的問題介紹
- 導致孔板流量計誤差變大的原因分析
- 孔板流量計測量蒸汽產生誤差的原因分析及解決辦法
- 深入探究影響孔板流量計進行煤氣流量計量的因素
- 質量流量計和控制器引擎蓋下的主要組件詳細介紹
- 淺析階躍溫度及水流速度對金屬管浮子流量計的影響
- 選擇流量計時會犯的10個常見錯誤以及如何避免錯誤
- 運用標準計量器具校正金屬管浮子流量計
- 如何正確安裝蒸汽流量計
- 天燃氣流量計的功能介紹
- 蒸汽流量計運行工作前的準備和調試
- 限流孔板流量計作為流量測量元件的使用條件有哪些
- 環形孔板流量計在各介質中的應用













