V錐流量計|一體化V錐流量計|v錐流量計廠家直銷
概述:
又稱內錐流量計、V錐、錐形流量計,是一種具有專利技術的新型差壓流量計,和其它類型的差壓流量計的基本原理相同,都是基于密封管道中的能量守恒原理,RZ系列V錐流量計的獨特設計,擴大了流量測量范圍,并避免了傳統差壓流量計的一些局限性,工作性能更優。RZ系列V錐流量計是在管道中心懸掛一個錐形截流件,錐形件阻礙介質流動,重塑流速曲線,測量介質包括水、蒸汽、空氣、氮氣、焦爐煤氣和有機氣體等。介質條件可從深低溫到超臨界狀態。工作溫度最高450,最大壓力25Mpa,可測量最高雷諾數為5*106,最低雷諾數為8*103甚至更低。產生滿刻度差壓信號從最低小于0.1 千帕到最高幾十千帕。
工作原理: 是一種差壓流量儀表,迄今為止以差壓原理設計的流量儀表已經有一百多年的應用歷史了。差壓原理是基于密封管道中的能量轉換原理,也就是說對穩定流體,流量與管道中介質流速的平方根成正比。當介質接近錐體時,其壓力為P1,在介質通過錐體的截流區時,速度增大,壓力降低為都通過錐形流量計的取壓口引到差壓變送器上,當流速發生變化時,錐形流量計的兩個取壓口之間的差壓值會增大或縮小。 錐流量計在進行流量計算時所采用的計算公式同其他差壓流量儀表相同,但其截流元件的獨特設計,迫使管道中心的介質繞著錐體流動,與其他差壓流量計相比這樣有很多優點。我們可以借助理想狀態流速曲線分布圖來理解錐形流量計的性能。管道中的流體沒有受到任何干擾和阻礙,即是我們所說的理想流態,他的流速分布均勻,靠近管壁的流速幾乎為零,管道中心的流速達到最大,靠近管壁的流速幾乎為零,是由于管壁對介質的摩擦力造成的。由于錐體懸掛在管線中心,他直接同流體的高速區接觸,迫使高速區的流體同近管壁低速區的流體相混合從而使流速均勻化。所以即使流速很低,錐形流量計仍能使流體與管道中心的最高流速連續作用產生正確差壓。
現實中,流速很難分布均勻,管道上的任何變化都可能對流體造成影響,如:灣頭、閥門、縮徑、擴徑、泵、三通等等,而錐形流量計利用錐體對上游的流速分布曲線重新進行塑造,即使在極為惡劣的情況下,仍能保證測量精度。
特點:
流量計精度 0.5% 1.0% 1.5%系統精度須參照應用條件及二次表的精度。
重復性好:優于 量程比寬:正常情況下為,若有必要也可加大。
直管段要求低:流量計前03D 直管段、后01D 直管段即可保證測量精度。實驗證明,V錐流量計可以接近單彎管或不同平面的雙彎管而對精度影響很小。
長期穩定性好:錐體的外形設計保證流體在流經錐體時是一種漸變的過程,無突變,值可保持長期不變,儀表可長期使用不需標定。
信號穩定:所有差壓流量計都會有信號波動,也就是說即使流體非常穩定,通過一次節流元件產生的信號也會有波動。對孔板而言,在節流件后形成的旋渦較長,這些長的旋渦會產生高幅、低頻波動信號,這些信號會對差壓表的讀數造成干擾。而錐形流量計會在其下游形成小旋渦,產生低幅、高頻波動信號。
壓損 小:由于沒有突出的擋板,因此錐形流量計的永久壓力損失比孔板低 無滯留死區:錐體的;吹掃式;設計不存在死區,因此在錐體上不會棧積流體碎片、粘渣或雜質。
混合器作用:錐流量計的下游所產生的旋渦是短旋渦,可在下游將介質混合,因此,目前錐形流量計在作為流量計工作的同時,還可在很多場合用做靜態攪拌器,可迅速而充分的將介質攪拌均勻。
應用: 介 質:煤氣、(包括含濕度以下)、各種碳氫化合物(包括含濕的HC氣體)、各種稀有氣體(氫、氦、氬、氧、氮等)、氯氣、濕的氯化物氣體、空氣(包括含水、含SiO2粒子以及含其他懸浮物的空氣)、煙道氣、飽和蒸汽(含汽、水兩相流)、過熱蒸汽、水等。
條 件:從深冷到超臨界狀態,最高溫度達450,最大壓力25Mpa。
計 算:每一個錐形流量計都根據流體的性質、壓力和溫度用專門的軟件進行計算。用戶可根據自己的應用條件(所測介質的組份、溫度、壓力、管徑、最大流量、常用流量、最小流量、準許最大壓力損失)選擇值。
維 護:錐形流量計免維護,不需要定期維護和檢定。
應用范圍:
| 潔凈氣/液體 | 臟污氣/液體 | 腐蝕性液體 | 粘性液體 | 磨蝕漿液 | 含纖維漿液 | 低流速流體 | 蒸汽(氣) | 高溫流體 | 低溫流體 | 不充滿管道 | 非牛頓流體 | 明渠 |
V錐 | ╳ | ╳ | ╳ | ||||||||||
孔板 | ╳ | ╳ | ╳ | ╳ | |||||||||
文丘里管 | ╳ | ╳ | |||||||||||
噴嘴 | ╳ | ╳ | |||||||||||
勻速管 | ╳ | ╳ | ╳ | ╳ | ╳ | ||||||||
彎管 | ╳ | ╳ | ╳ | ||||||||||
:設計首選 :在一定的條件下可用 :通常可用 ╳:不適用 | |||||||||||||
原理
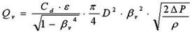
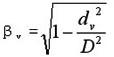
![]() 經過簡化后公式為: ![]() 式中:QV流體體積流量m3/h Cd流出系數 βV等效直徑比 ![]() dV為錐體最大直徑,D為管道內徑 ρ流體工況下密度 ε氣體可膨脹系數 | ![]() |


產品選型
型 號 | 說 明 | |||||
RZ-VS | V錐流量計 | |||||
代號 | 口徑(mm) | |||||
153000 | DN15DN3000mm | |||||
各部件材料材質 | ||||||
代碼 | 錐體 | 鋼管 | 法蘭 | |||
A | SS304 | 20# | 20# | |||
SS304 | 15CrMo | 15CrMo | ||||
C | SS304 | SS304 | 20# | |||
D | SS304 | SS304 | SS304 | |||
E | SS316L | SS304 | SS304 | |||
G | SS316L | SS316L | SS316L | |||
# | 其它材質 | |||||
代號 | 介質 | |||||
1 | 液體 | |||||
2 | 氣體 | |||||
3 | 蒸汽 | |||||
4 | 高溫介質 | |||||
代號 | 補償形式 | |||||
不帶壓力、溫度補償 | ||||||
Q | 帶壓力、溫度補償輸出 | |||||
代號 | 連接形式 | |||||
L | 螺紋連接(適用于小口徑) | |||||
W | 法蘭連接 | |||||
代號 | 壓力等級 | |||||
0 | 0.25MPa | |||||
1 | 0.6 MPa | |||||
2 | 1.0 MPa | |||||
3 | 1.6 MPa | |||||
4 | 2.5 MPa | |||||
5 | 4.0 MPa | |||||
6 | 6.3 MPa | |||||
訂貨須知:
訂貨時請詳細提供以下數據:
(1)被測介質
(2)最大、常用、最小流量。
(3)工作壓力、工作溫度 、最高壓力、最高溫度
(4)介質密度、粘度
(5)管道材質、內徑、外徑
(6)現場管道敷設情況和局部阻力件形式。
注:V錐流量計需選配:差壓變送器、三閥組、針型閥、冷凝罐、冷凝圈、壓力變送器、溫度變送器、智能計算儀。

最新資訊文章
- 流速式流量計的安裝注意也需要一定講究
- 氣體渦街流量計在測量蒸汽爐煤氣時出現問題及解決方法
- 孔板流量計測量瓦斯抽放流量時的安裝要求及取壓方式
- 測蒸汽時應選孔板流量計還是渦街流量計?
- 差壓孔板流量計出現故障時 不妨試試以下方法
- 天然氣流量計管道調試故障原因分析
- 插入式流量計的原理與分類
- 如何消除污水流量計工頻干擾和零點漂移
- 孔板流量計:自動化設計廢鋼鐵行業轉行井噴
- 前后直管段太短時孔板流量計應該如何安裝
- 德爾塔巴流量計的安裝要求以及注意
- 高壓孔板流量計在冷凍水檢測中的注意要點及解決方案介紹
- 選型蒸汽流量計時所需要注意的問題介紹
- 導致孔板流量計誤差變大的原因分析
- 孔板流量計測量蒸汽產生誤差的原因分析及解決辦法
- 深入探究影響孔板流量計進行煤氣流量計量的因素
- 質量流量計和控制器引擎蓋下的主要組件詳細介紹
- 淺析階躍溫度及水流速度對金屬管浮子流量計的影響
- 選擇流量計時會犯的10個常見錯誤以及如何避免錯誤
- 運用標準計量器具校正金屬管浮子流量計
- 如何正確安裝蒸汽流量計
- 天燃氣流量計的功能介紹
- 蒸汽流量計運行工作前的準備和調試
- 限流孔板流量計作為流量測量元件的使用條件有哪些
- 環形孔板流量計在各介質中的應用


















