蒸汽用標準噴嘴流量計
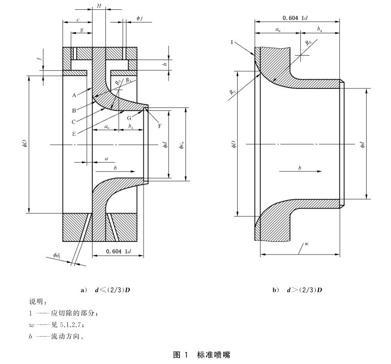
標準噴嘴流量計在管道內的部分是圓形的,由圓弧廓形的收縮部分和圓筒形喉部組成。圖1為標準噴嘴喉部軸線平面的截面圖,下文提到的字母見圖1.

1.2標準噴嘴廓形
1.2.1標準噴嘴廓形的特征:
a)垂直于中心線的平面入口部分A;
b)由B和C兩段圓弧構成的收縮段;
c)圓筒形喉部E;
d)護槽F(只用于防止邊緣G受損)。
1.2.2
平面入口部分A是由直徑為1.5d的圓周和直徑為D的圓周所限定的。
當d<(2/3)D時,圓弧B與平面入口部分A相切。
當d=(2/3)D時,平面入口部分的徑向寬度為零。
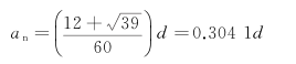
當d>(2/3)D時,在管道內的標準噴嘴上游端面就不包括平面入口部分。在此情況下,標準噴嘴
將按照規定進行加工,然后將入口平面部分切平,使收縮廓形的最大直徑恰好等于D[見1.2.7和圖1b)]。
1.2.3圓弧B的半徑R1等于0.2d0.02d(當<0.5時)或0.2d 0.006d(當0.5時),圓心距入口平面0.2d,距軸線0.75d。
1.2.4圓弧C與圓弧B及喉部E相切,半徑R2等于d/3 0.033d(當β<0.5時)或d/30.01d(當0.5

時),圓心距軸線d/2+d/3=5/6d,距平面入口部分A
1.2.5喉部E的直徑為d,長度bn=0.3d。喉部直徑d值應取至少4個直徑測量結果的平均值,各個直徑之間彼此以近似相等的角度分布在軸向平面上。喉部應為圓筒形,任何一個橫截面直徑與平均直徑值之差不得超過0.05%。
1.2.6護槽F的直徑cn至少等于1.06d,長度小于或等于0.03d。護槽高度(cn-d)/2與其軸向長度之比不得大于1.2。出口邊緣G應是銳邊。
1.2.7標準噴嘴的總長度(不包括護槽F)取決于β,W等于:

1.2.8收縮段入口的廓形應利用樣板進行檢驗。在垂直于軸線的同一平面上,收縮段入口的兩個直徑彼此相差不得超過平均值的0.1%。
1.2.9上游端面和喉部應拋光,粗糙度Ra 10-4d。
1.3下游端面
1.3.1厚度H不超過0.1D。
1.3.2除1.3.1外,下游端面的廓形和表面粗糙度不作規定(見1.1)。
2取壓裝置
2.1上游取壓口
2.1.1上游取壓口采用角接取壓方式,可以是單個取壓口或者是環隙。如圖1所示,這兩種取壓口可位于管道上、管道法蘭上或夾持環上。
2.1.2單個上游取壓口的軸線與上游端面A的間距等于取壓口本身直徑的1/2。這樣,取壓口穿透管壁處與端面A相切。各個上游取壓口的軸線應盡可能以90°的角度與標準噴嘴的軸線相交。
2.1.3單個上游取壓口的直徑1和環隙的寬度a規定如下:
0.65:0.005 a
或 0.03D;
>0.65:0.01D a
或 0.02D;
任何 值:1mm a或 10mm。
2.1.4實際上是根據防止偶然阻塞及取得良好動態特性的需要確定最小直徑。
2.1.5環隙通常在整個周長上穿通管道,連續而不中斷。若非如此,則每個環室應至少由4個開孔與管道內部連通。每個開孔的軸線彼此互成等角,單個開孔的面積至少為12mm2。
2.1.6夾持環的內徑b應大于或等于管道內徑D,以保證它不突入管道內,但應小于或等于1.04D。此外,應滿足下列條件:

2.1.7上游環(見圖1)的長度c不得大于0.5D。
2.1.8環隙厚度f應大于或等于環隙寬度a的兩倍。環室的橫截面積gh應大于或等于環室連通管道內部的開孔總面積的1/2
2.1.9環室接觸被測流體的表面應清潔,并有良好的粗糙度。
2.1.10環室與導壓管之間的取壓口是管壁取壓口,在貫穿處是圓形的,其直徑j在4mm~10mm之間。
2.1.11上游夾持環和下游夾持環不必彼此對稱,但均應符合前述規定。
2.1.12夾持環直徑應按6.4.2的規定測量。
2.2下游取壓口
2.2.1下游取壓口可以是如2.1所述的角接取壓口,也可以是如本條款下述的取壓口。
2.2.2取壓口軸線與標準噴嘴上游端面之間的距離應為:
a) 0.15D(當 0.67時);
b) 0.20D(當 >0.67時)。
2.3單個取壓口的要求
2.3.1設置取壓口時,應預先考慮墊圈和(或)密封材料的厚度。
2.3.2取壓口軸線應盡可能以90 角度與管道軸線相交,在任何情況下都應在垂直線的3 以內。穿透處孔應為圓形,邊緣應與管壁內表面齊平并盡可能銳利。為確保去除內部邊緣上的一切毛邊或卷口,允許倒圓但應盡可能小,倒圓的半徑應小于取壓口的1/10。在連接孔內、管壁上鉆孔的邊緣或靠近取壓
口的管壁上不應呈現不規則性??赡繙y檢查取壓口是否符合本段的要求。
2.3.3上游和下游取壓口的直徑應相同。
2.3.4從管道內壁量起,在至少2.5倍于取壓口直徑的長度內,取壓口應為圓形和圓筒形。
2.3.5取壓口的軸線可位于管道的任一軸向平面上。
2.3.6上游取壓口和下游取壓口的軸線可位于不同的軸向平面上。
3標準噴嘴的系數
3.1使用范圍
3.1.1標準噴嘴應按本標準的規定只使用在下列條件下:
a)50mm D 500mm;
b)0.3 0.8。
3.1.2同時ReD在下述限值范圍內:
a)當0.30 <0.44時,7 104 ReD 107;
b)當0.44 0.80時,2 104 ReD 107。
3.1.3此外,管道相對粗糙度應符合表2給出的值。
3.1.4本標準給出流出系數C值所依據的實驗,大部分是在相對粗糙度Ra/D 1.2 10-4的管道中進行的。如果標準噴嘴上游至少10D長度范圍內的粗糙度在表2給出的范圍之內,上游直管段的其余部分可使用較高相對粗糙度的管道。Ra由附錄C表C.1給出。
3.1.5測量管道內表面粗糙度的軸向位置與測定和驗證管道內徑的軸向位置大致相同。確定管道內表面的粗糙度至少需要測量4次。測量Ra應使用電子平均型表面粗糙度測量儀,該儀器的截止值不小于0.75mm,測量范圍能滿足測量管道Ra值的需要。粗糙度會隨著時間而改變,在確定清洗管道或檢查Ra值的周期應予考慮。
3.1.6由于Ra近似等于k/ ,可通過求k值得到Ra近似值。對樣品管段做壓力損失試驗,采用Colebrook-White公式(見ISO5167-1:2003中7.4.1.4)從摩擦系數計算出k值,也可從附錄C表C.1查出各種材料的k值。
最新資訊文章
- 流速式流量計的安裝注意也需要一定講究
- 氣體渦街流量計在測量蒸汽爐煤氣時出現問題及解決方法
- 孔板流量計測量瓦斯抽放流量時的安裝要求及取壓方式
- 測蒸汽時應選孔板流量計還是渦街流量計?
- 差壓孔板流量計出現故障時 不妨試試以下方法
- 天然氣流量計管道調試故障原因分析
- 插入式流量計的原理與分類
- 如何消除污水流量計工頻干擾和零點漂移
- 孔板流量計:自動化設計廢鋼鐵行業轉行井噴
- 前后直管段太短時孔板流量計應該如何安裝
- 德爾塔巴流量計的安裝要求以及注意
- 高壓孔板流量計在冷凍水檢測中的注意要點及解決方案介紹
- 選型蒸汽流量計時所需要注意的問題介紹
- 導致孔板流量計誤差變大的原因分析
- 孔板流量計測量蒸汽產生誤差的原因分析及解決辦法
- 深入探究影響孔板流量計進行煤氣流量計量的因素
- 質量流量計和控制器引擎蓋下的主要組件詳細介紹
- 淺析階躍溫度及水流速度對金屬管浮子流量計的影響
- 選擇流量計時會犯的10個常見錯誤以及如何避免錯誤
- 運用標準計量器具校正金屬管浮子流量計
- 如何正確安裝蒸汽流量計
- 天燃氣流量計的功能介紹
- 蒸汽流量計運行工作前的準備和調試
- 限流孔板流量計作為流量測量元件的使用條件有哪些
- 環形孔板流量計在各介質中的應用














